2025年贵州高考普通类高职(专科)批 青岛求实职业技术学院 的 医学检验技术 专业录取分数溯源信息
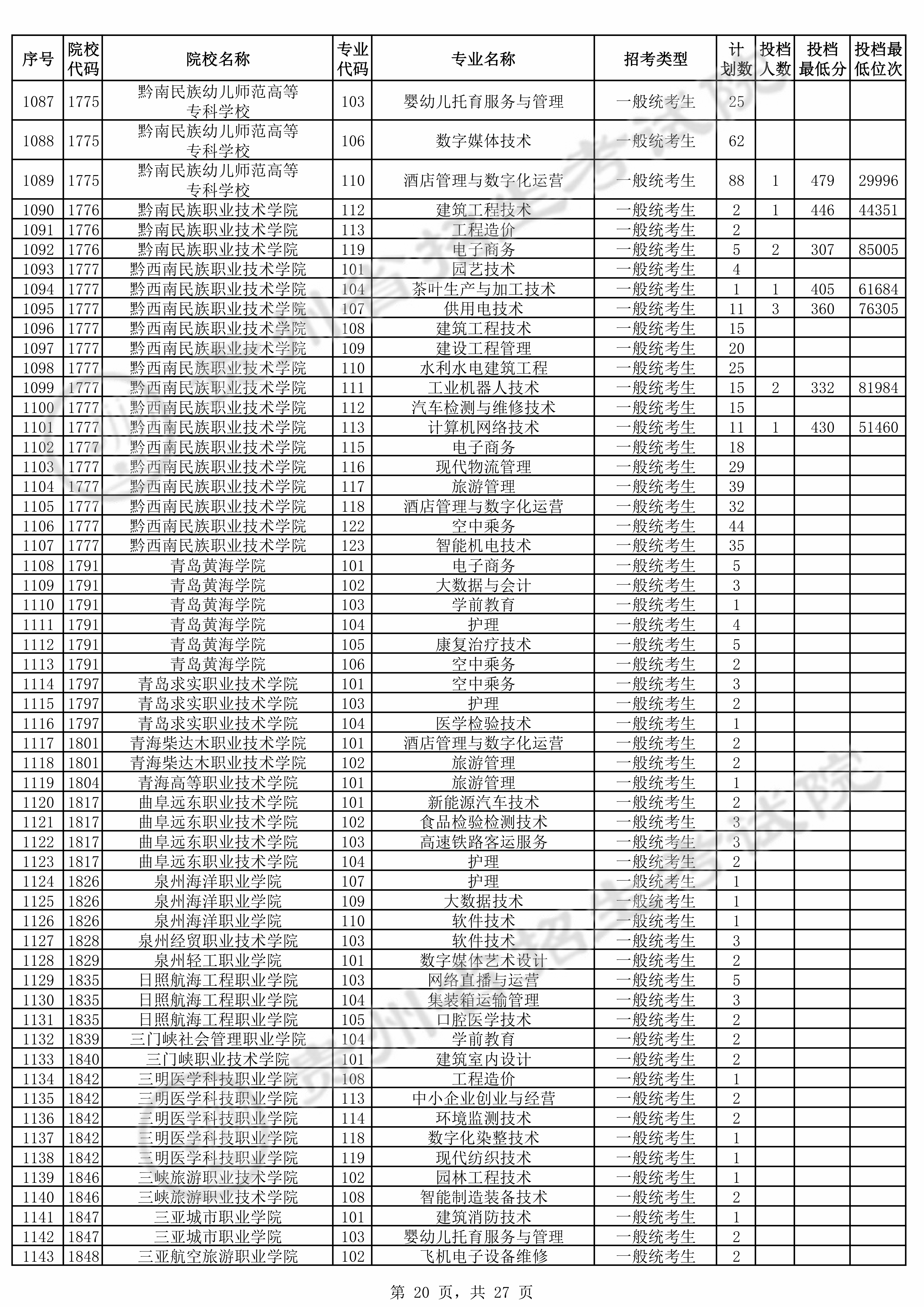
| 普通类高职(专科)批 | ||||||||
| 院校代码 | 院校名称 | 专业代码 | 专业名称 | 最低分数 | 最低位次 | 专业层次 | 限考科目 | 投档 |
|---|---|---|---|---|---|---|---|---|
| 1797 | 青岛求实职业技术学院 | 104 | 医学检验技术 | 180 | 88398 | 专科 | 历史 ,再选: 不限 | 1,2,3,4,5 |
青岛求实职业技术学院医学检验技术
1
院校代码:1797
专业代码:104
最低分数:180
最低位次:88398
录取批次:普通类高职(专科)批
专业层次:专科
限考科目:
历史 ,再选: 不限
投档次数:1,2,3,4,5
| 普通类高职(专科)批 首次投档录取原格式数据 |
批投档情况(首选科目历史)-01-064.webp)
| 普通类高职(专科)批 第1次征集志愿投档录取原格式数据 |
批征集志愿投档情况(首选科目历史)-01-031.webp)
| 普通类高职(专科)批 第2次征集志愿投档录取原格式数据 |
批第2次征集志愿投档情况(首选科目历史)-01-019.webp)
| 普通类高职(专科)批 第3次征集志愿投档录取原格式数据 |
批第3次征集志愿投档情况(首选科目历史)-01-016.webp)
| 普通类高职(专科)批 第4次征集志愿投档录取原格式数据 |
批第4次征集志愿投档情况(首选科目历史)-01-013.webp)
全部专业投档情况
果然优志始终秉持专业与敬畏之心,致力于为每一位考生与家长提供 精准、权威、真实 的高考录取分数与位次信息。我们严格对标各省市教育考试院公布的官方数据,确保每一条信息都可追溯、可验证,竭力为您构建一个 可靠、透明、值得信赖 的高考志愿填报支持平台。本站所呈现的所有数据,均与官方渠道保持高度一致,助您从容决策、迈向理想未来。


