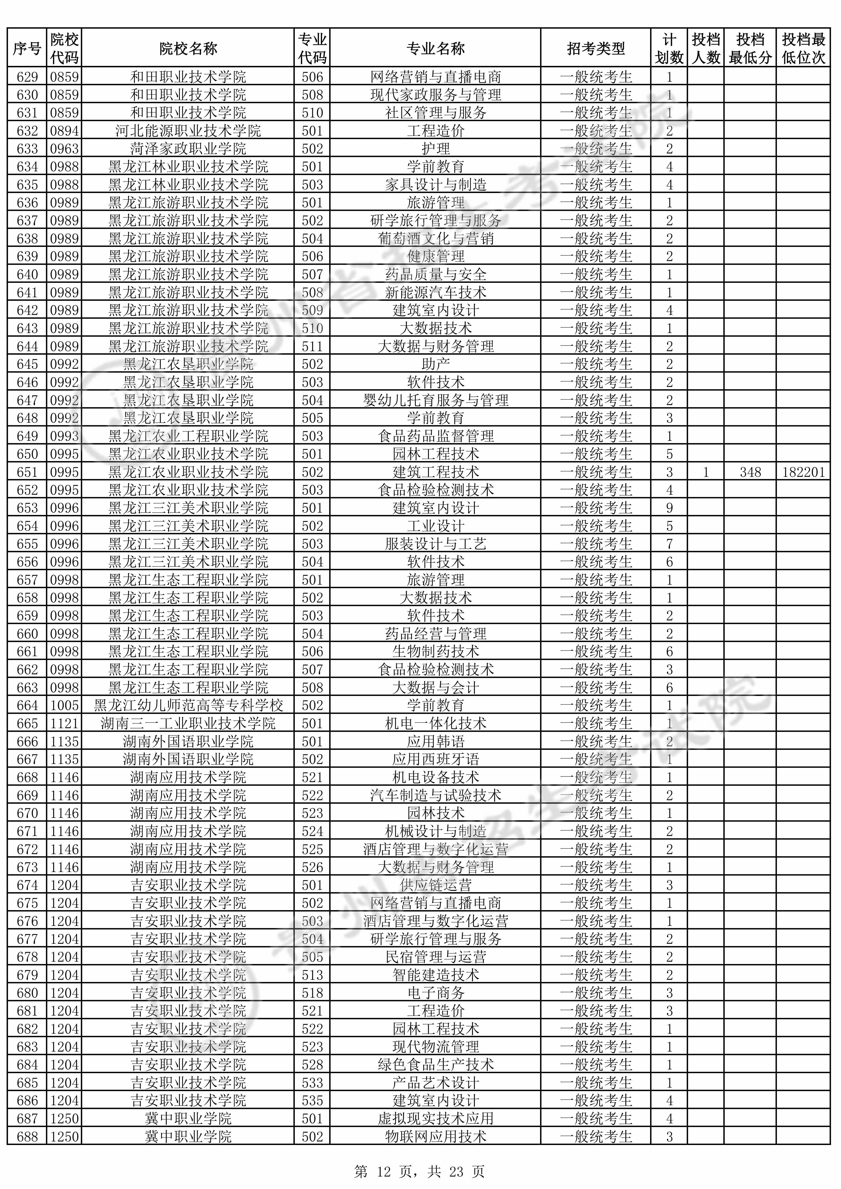
2025年贵州高考普通类高职(专科)批 黑龙江幼儿师范高等专科学校 的 学前教育 专业录取分数溯源信息
普通类高职(专科)批 | |||||||
招生代码 | 大学名称 | 专业名称 | 最低分数 | 最低位次 | 专业层次 | 限考科目 | 投档 |
---|---|---|---|---|---|---|---|
1005 | 黑龙江幼儿师范高等专科学校 | 学前教育 | 278 | 201256 | 专科 | 物理 ,再选: 不限 | 1,2,3,4,5 |
黑龙江幼儿师范高等专科学校学前教育
1
招生代码:1005
最低分数:278
最低位次:201256
录取批次:普通类高职(专科)批
专业层次:专科
限考科目:物理 ,再选: 不限
投档次数:1,2,3,4,5
普通类高职(专科)批 首次投档录取原格式数据 |
批投档情况(首选科目物理)-01-049.png)
普通类高职(专科)批 第1次征集志愿投档录取原格式数据 |
批征集志愿投档情况(首选科目物理)-01-023.png)
普通类高职(专科)批 第2次征集志愿投档录取原格式数据 |
批第2次征集志愿投档情况(首选科目物理)-01-013.png)
普通类高职(专科)批 第3次征集志愿投档录取原格式数据 |
批第3次征集志愿投档情况(首选科目物理)-01-013.png)
普通类高职(专科)批 第4次征集志愿投档录取原格式数据 |
批第4次征集志愿投档情况(首选科目物理)-01-011.png)
果然优志始终秉持专业与敬畏之心,致力于为每一位考生与家长提供 精准、权威、真实 的高考录取分数与位次信息。我们严格对标各省市教育考试院公布的官方数据,确保每一条信息都可追溯、可验证,竭力为您构建一个 可靠、透明、值得信赖 的高考志愿填报支持平台。本站所呈现的所有数据,均与官方渠道保持高度一致,助您从容决策、迈向理想未来。
