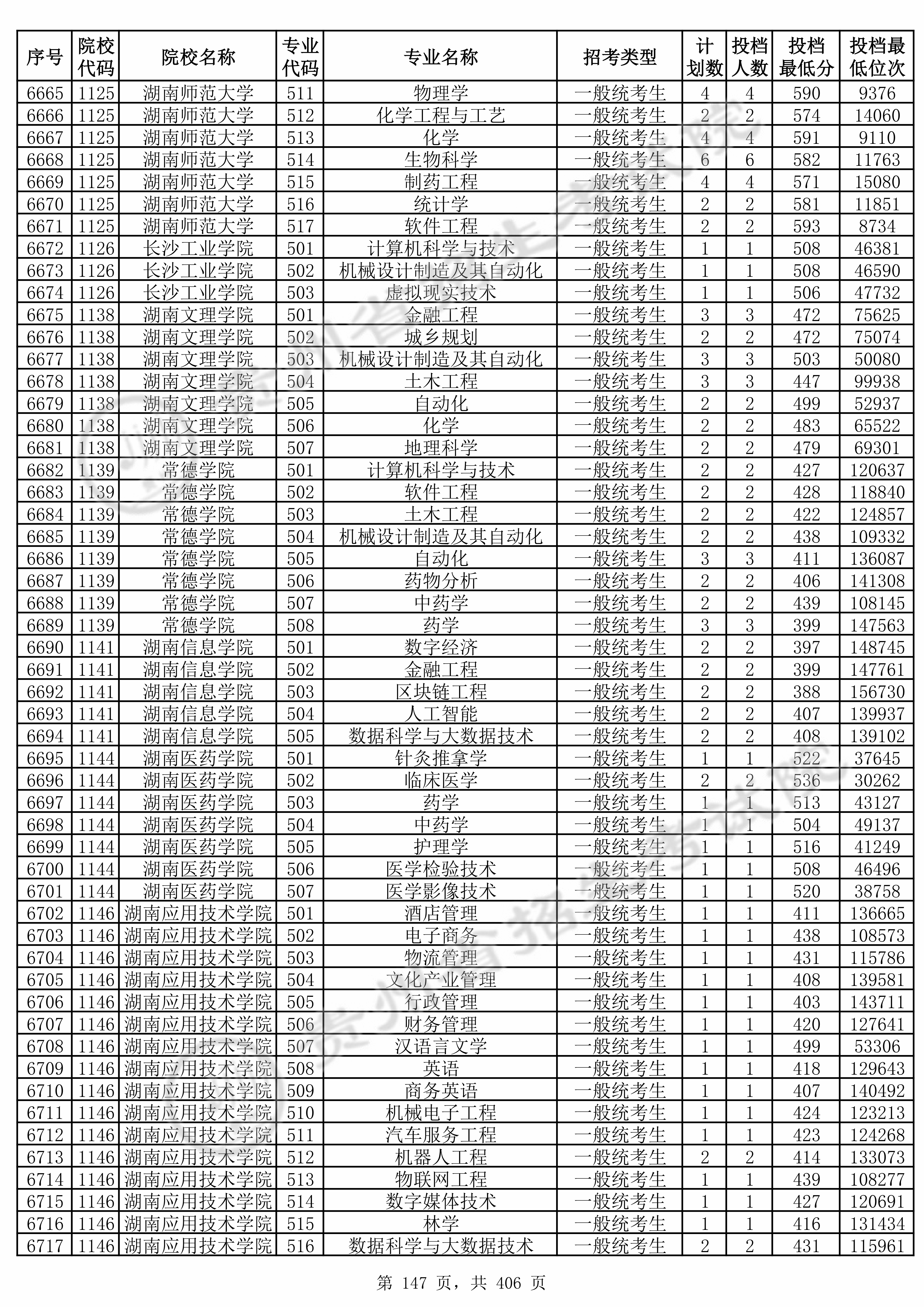
2025年贵州高考普通类本科批 湖南师范大学 的 制药工程 专业录取分数溯源信息
普通类本科批 | |||||||
招生代码 | 大学名称 | 专业名称 | 最低分数 | 最低位次 | 专业层次 | 限考科目 | 投档 |
---|---|---|---|---|---|---|---|
1125 | 湖南师范大学 | 制药工程 | 571 | 15080 | 本科 | 物理 ,再选: 化学 | 1 |
湖南师范大学制药工程
1
招生代码:1125
最低分数:571
最低位次:15080
录取批次:普通类本科批
专业层次:本科
限考科目:物理 ,再选: 化学
投档次数:1
普通类本科批 首次投档录取原格式数据 |
-01-146.png)
果然优志始终秉持专业与敬畏之心,致力于为每一位考生与家长提供 精准、权威、真实 的高考录取分数与位次信息。我们严格对标各省市教育考试院公布的官方数据,确保每一条信息都可追溯、可验证,竭力为您构建一个 可靠、透明、值得信赖 的高考志愿填报支持平台。本站所呈现的所有数据,均与官方渠道保持高度一致,助您从容决策、迈向理想未来。
