
南京信息工程大学
Nanjing University of Information Science & Technology
创建于1960年, 已有66年历史
1960年
江苏.南京
本科
公办
理工
一流学科
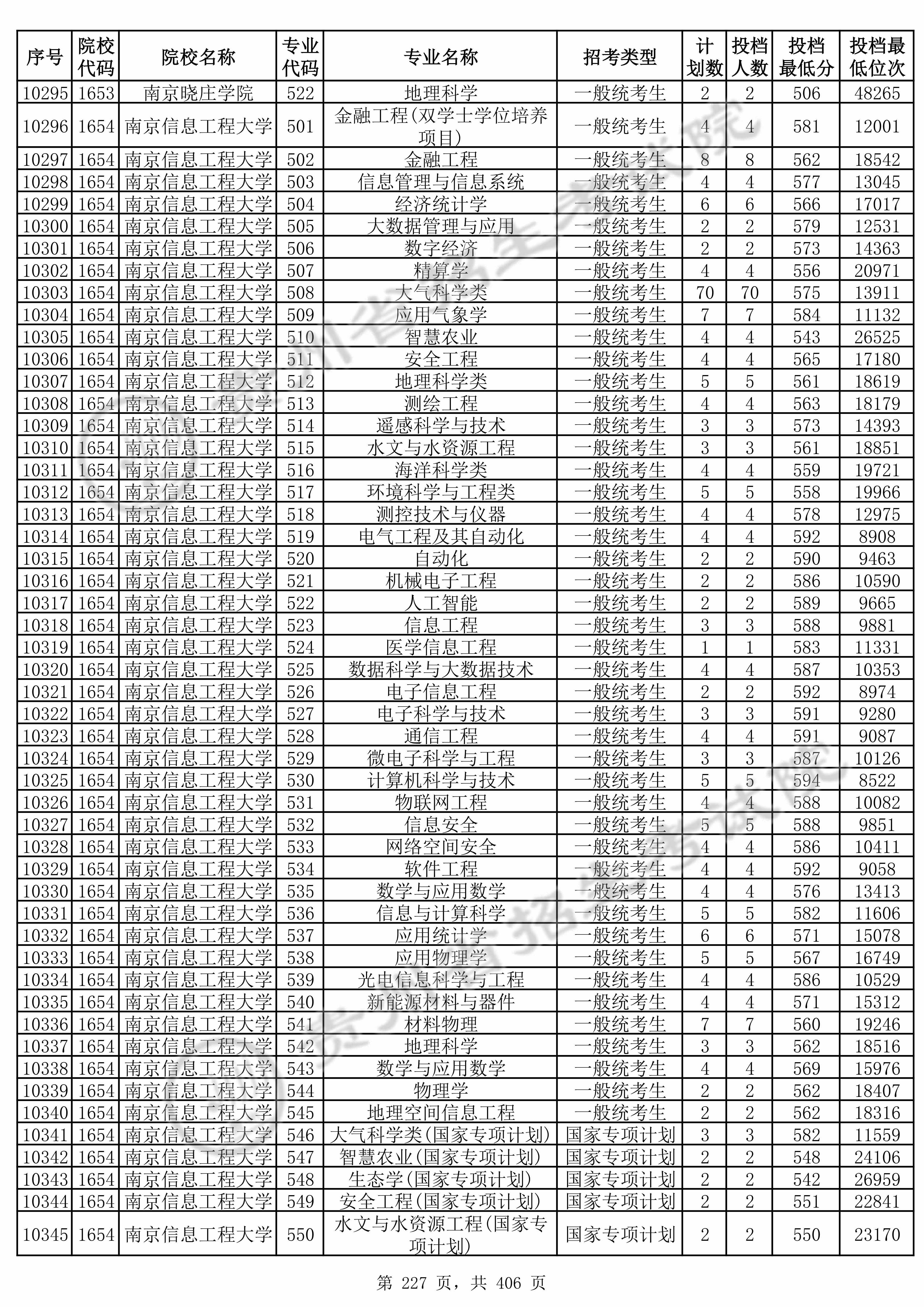
2025年贵州高考普通类本科批 南京信息工程大学 的 机械电子工程 专业录取分数溯源信息
| 普通类本科批 | ||||||||
| 院校代码 | 院校名称 | 专业代码 | 专业名称 | 最低分数 | 最低位次 | 专业层次 | 限考科目 | 投档 |
|---|---|---|---|---|---|---|---|---|
| 1654 | 南京信息工程大学 | 521 | 机械电子工程 | 586 | 10590 | 本科 | 物理 ,再选: 化学 | 1 |
南京信息工程大学机械电子工程
1
院校代码:1654
专业代码:521
最低分数:586
最低位次:10590
录取批次:普通类本科批
专业层次:本科
限考科目:
物理 ,再选: 化学
投档次数:1
| 普通类本科批 首次投档录取原格式数据 |
-01-226.webp)
全部专业投档情况
果然优志始终秉持专业与敬畏之心,致力于为每一位考生与家长提供 精准、权威、真实 的高考录取分数与位次信息。我们严格对标各省市教育考试院公布的官方数据,确保每一条信息都可追溯、可验证,竭力为您构建一个 可靠、透明、值得信赖 的高考志愿填报支持平台。本站所呈现的所有数据,均与官方渠道保持高度一致,助您从容决策、迈向理想未来。

