2025年贵州高考普通类本科批 哈尔滨石油学院 的 电气工程及其自动化 专业录取分数溯源信息
| 普通类本科批 | ||||||||
| 院校代码 | 院校名称 | 专业代码 | 专业名称 | 最低分数 | 最低位次 | 专业层次 | 限考科目 | 投档 |
|---|---|---|---|---|---|---|---|---|
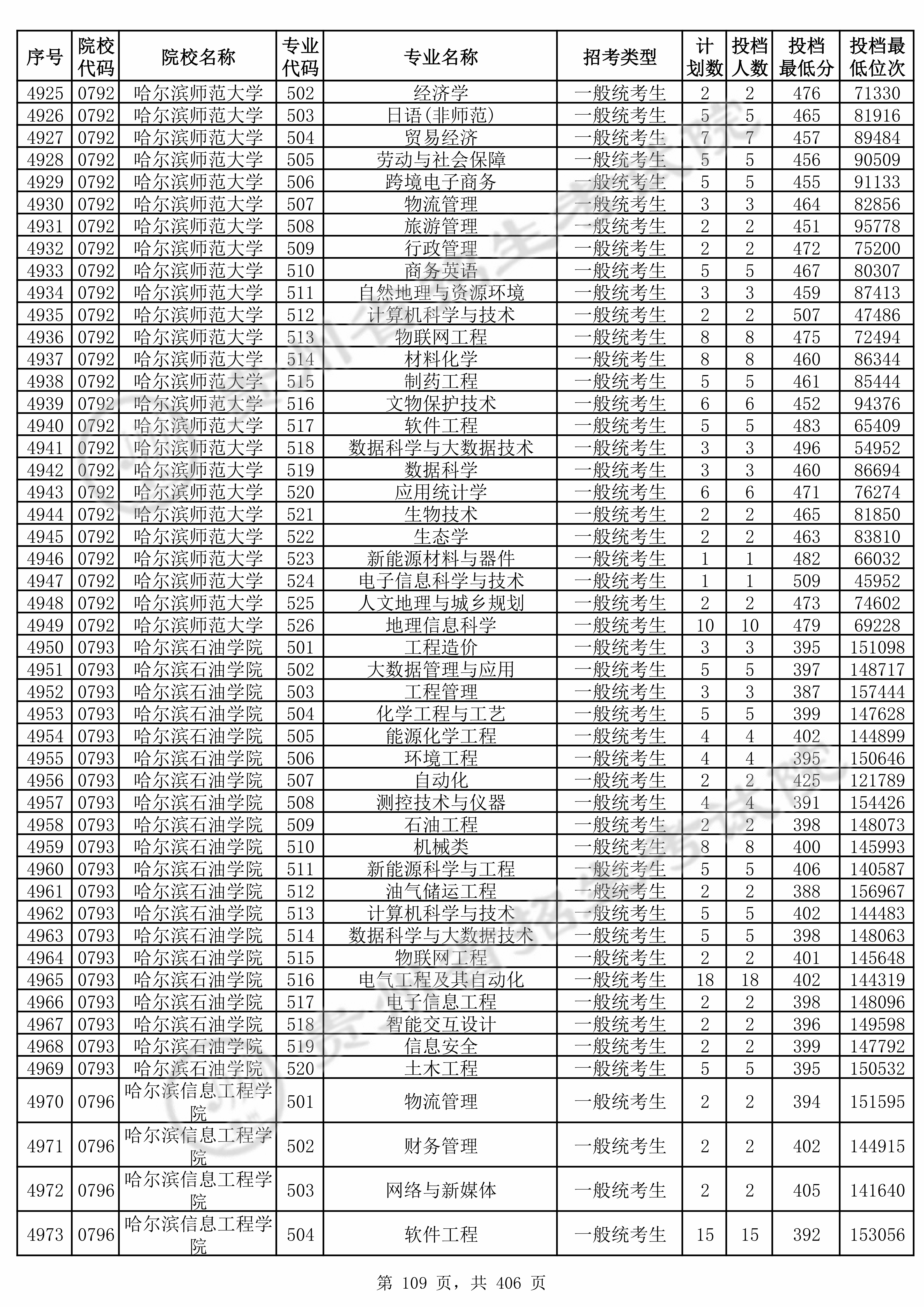
| 0793 | 哈尔滨石油学院 | 516 | 电气工程及其自动化 | 402 | 144319 | 本科 | 物理 ,再选: 化学 | 1,2 |
哈尔滨石油学院电气工程及其自动化
1
院校代码:0793
专业代码:516
最低分数:402
最低位次:144319
录取批次:普通类本科批
专业层次:本科
限考科目:
物理 ,再选: 化学
投档次数:1,2
| 普通类本科批 首次投档录取原格式数据 |
-01-108.webp)
| 普通类本科批 第1次征集志愿投档录取原格式数据 |
-01-008.webp)
全部专业投档情况
果然优志始终秉持专业与敬畏之心,致力于为每一位考生与家长提供 精准、权威、真实 的高考录取分数与位次信息。我们严格对标各省市教育考试院公布的官方数据,确保每一条信息都可追溯、可验证,竭力为您构建一个 可靠、透明、值得信赖 的高考志愿填报支持平台。本站所呈现的所有数据,均与官方渠道保持高度一致,助您从容决策、迈向理想未来。


