2025年重庆高考艺术类高职(专科)批音乐类表演类声乐方向 山东艺术设计职业学院 的 音乐表演 专业录取分数溯源信息
| 艺术类高职(专科)批音乐类表演类声乐方向 | ||||||||
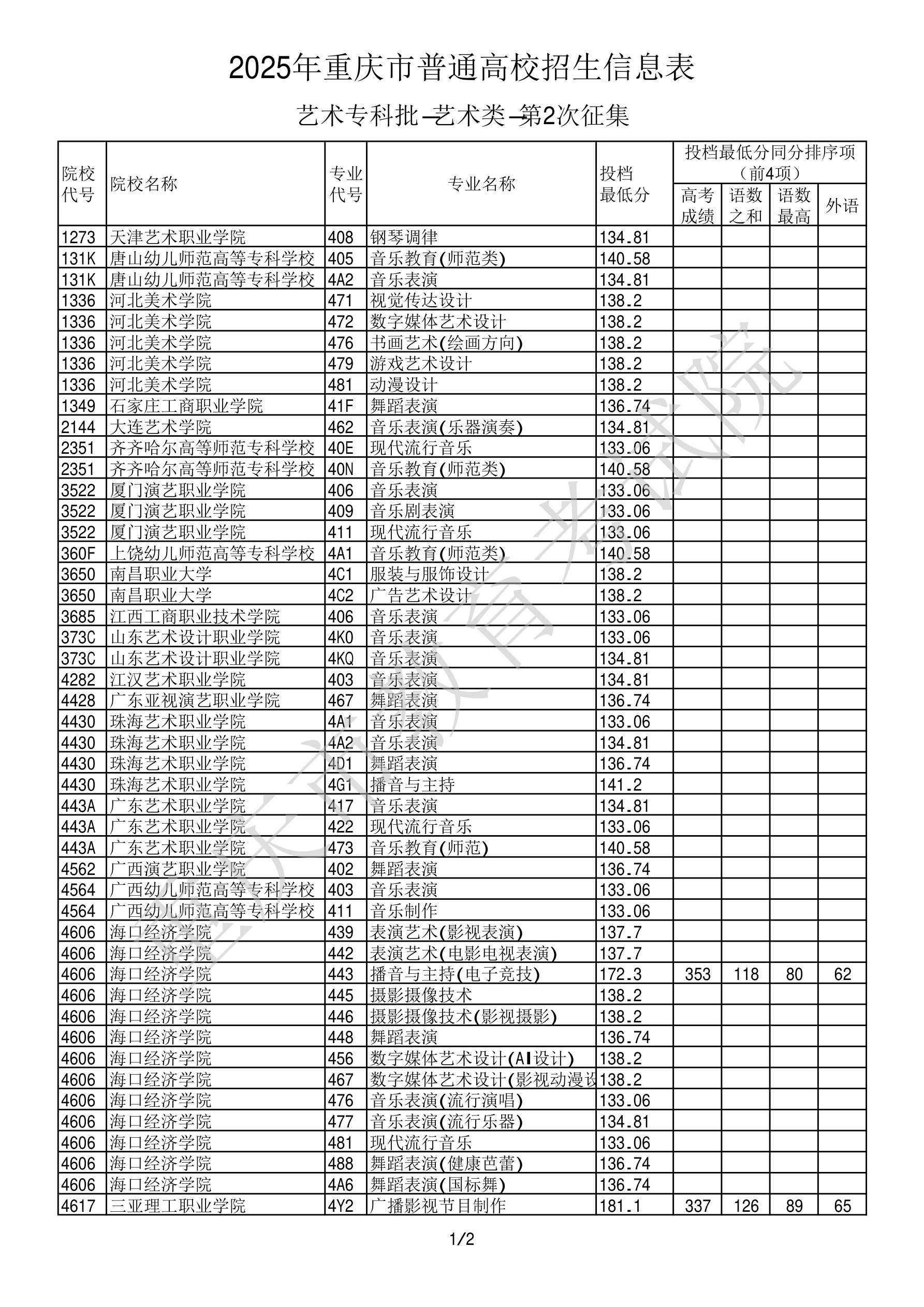
| 院校代码 | 院校名称 | 专业代码 | 专业名称 | 最低分数 | 最低位次 | 专业层次 | 限考科目 | 投档 |
|---|---|---|---|---|---|---|---|---|
| 373C | 山东艺术设计职业学院 | 4K0 | 音乐表演 | 133.06 | 1528 | 专科 | 不限 | 1,2,3 |
山东艺术设计职业学院音乐表演
1
院校代码:373C
专业代码:4K0
最低分数:133.06
最低位次:1528
录取批次:艺术类高职(专科)批音乐类表演类声乐方向
专业层次:专科
限考科目:
不限
投档次数:1,2,3
| 艺术类高职(专科)批音乐类表演类声乐方向 首次投档录取原格式数据 |

| 艺术类高职(专科)批音乐类表演类声乐方向 第1次征集志愿投档录取原格式数据 |

| 艺术类高职(专科)批音乐类表演类声乐方向 第2次征集志愿投档录取原格式数据 |

全部专业投档情况
果然优志始终秉持专业与敬畏之心,致力于为每一位考生与家长提供 精准、权威、真实 的高考录取分数与位次信息。我们严格对标各省市教育考试院公布的官方数据,确保每一条信息都可追溯、可验证,竭力为您构建一个 可靠、透明、值得信赖 的高考志愿填报支持平台。本站所呈现的所有数据,均与官方渠道保持高度一致,助您从容决策、迈向理想未来。


